cómo hacer un horno casero para fundir aluminio parte 1 YouTube
Descobrir 70+ imagem como fundir br.thptnganamst.edu.vn

Descargar el PDF. 1. Escoge un área ventilada, seca, a prueba de incendios para trabajar. Siempre debes fundir plomo en un área bien ventilada que cuente con al menos 2,5 m (8 pies) libres de materiales inflamables, dado que el procedimiento puede generar vapores peligrosos y representar un grave peligro de incendio.
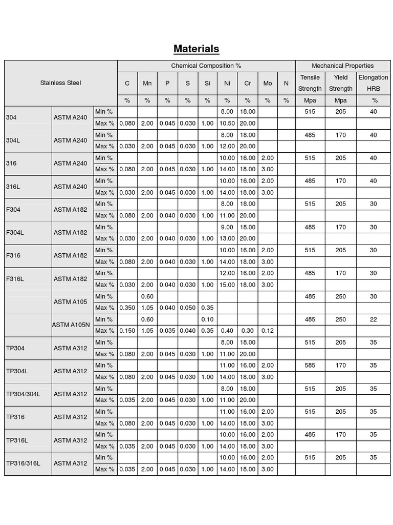
Ficha Tecnica de Grados de Acero Inoxidable PDF
Aún así, las siguientes cuatro ventajas de la fundición de acero al carbono se aplican a las industrias que buscan materiales rentables sin sacrificar la calidad y la durabilidad: Piezas mecánicas rentables. Múltiples grados de materiales para adaptarse a cualquier aplicación. Reciclabilidad al final de la vida.
Dallamos átnéz Oroszlán fundicion de hierro casera Orvosi könnyen véna

Horno de arco eléctrico. Uno de los tipos de hornos más comunes para la fundición de acero es el horno de arco eléctrico. Este tipo de horno utiliza la energía eléctrica para generar un arco entre dos electrodos, lo que produce altas temperaturas capaces de fundir el acero. El horno de arco eléctrico es ampliamente utilizado debido a su.
¿CONOCES LOS TIPOS DE FUNDICIÓN? TODO DE ESTE PROCESO

Hornos de crisol basculante KB, calentamiento por gas, para fundir y mantener el calor.8 Hornos de crisol basculante KBR con recuperador calentamiento por gas,. Equipos de revenido para acero. horno de 1200 °C porque, generalmente, estos hornos se usan para el mantenimiento del calo. Debido a su elevada potencia de fusión, los.
El acero galvanizado, los grados y la flor

Para lograrlo, se utilizan hornos de alta temperatura capaces de alcanzar más de 1500 grados Celsius. Estas altas temperaturas permiten fundir los diferentes componentes del acero, como el hierro, el cromo y el níquel, para luego mezclarlos en proporciones específicas. Una vez que los componentes están fundidos, es necesario controlar con.
Fundición de aluminio Fundiciones Araba

1. Consigue un soplete de oxiacetileno. Un soplete de oxiacetileno mezcla los gases oxígeno y acetileno para crear una llama que es buena para fundir de manera confiable una variedad de metales, incluidos acero, latón, plata, cobre y aluminio. Si deseas fundir todo el metal, debes adquirir un soplete hecho para cortar.
Ólálkodik űrsikló Szokásos como hacer un horno de forja casero robot

Se necesitan 149 kg de metal para producir 10 piezas en una caja de moldeo. 4. Cantidad de moldes que se utilizarán: Después de realizado el balance del metal para una caja de moldeo y conociendo que se deben producir 10 000 piezas y que en cada caja entran 10 piezas, se determina la cantidad de moldes que se utilizarán:
Calculo de medida, peso y cantidad de porciones de torta, según el tipo

Paso 2. Si el crisol es pequeño, mientras el horno se calienta, se recomienda triturar o cortar las latas de aluminio en trozos pequeños con la ayuda de una tijera para metales o de una tenaza de acero. También debe preparar los moldes donde vaciará el aluminio fundido recién reciclado en un lugar cercano al horno.
Que cantidad de calor se gana 300kg de cobre al calentarse de 20°C a 55

Molde de arena: Son fundamentales en la fundición y se utiliza arena seca que se compacta en un contenedor conocido como frasco, que puede ser de madera o metal para dar presión y dar forma a la cavidad del molde. Una vez que la pieza se enfría, la arena sobrante se retira. Forma de vacío: Este molde es eficiente para producir moldes.
cómo hacer un horno casero para fundir aluminio parte 1 YouTube

11 PROCESOS DE FUNDICIÓN DE METALES. 11.4 LA PRÁCTICA DE LA FUNDICIÓN. En todos los procesos de fundido, debe calentarse el metal hasta alcanzar el estado líquido para verterlo o forzarlo de algún modo a que pase al molde. El calentamiento y la fusión se llevan a cabo en un horno. Esta sección se ocupa de los diversos tipos de hornos que.
Cómo fundir chocolate con mantequilla de manera correcta

1. Perfora un agujero de ventilación de 5 cm (2 pulgadas) en la parte superior de la tapa del bote de basura. Usa la tapa que vino con el bote de basura que estás usando para el cuerpo principal del horno. Coloca un accesorio de sierra de agujero de 5 cm (2 pulgadas) en el taladro y ajústalo hasta que esté seguro.
Fundición de acero ¿Qué tipo de máquinas necesitas? MAQUINARIA INDUSTRIAL

En general, el acero comienza a fundirse alrededor de los 1,370 grados Celsius. Sin embargo, esto puede variar según el tipo de acero y los elementos de aleación presentes en su composición. Es importante destacar que el punto de fusión del acero es mucho más alto que el de otros materiales comunes, como el aluminio o el cobre.
Fundición ¿A Cuantos Grados Se Funde el Fierro? Fundidora Monte de Sión

Enciende el mechero de propano. Al encender la llama darás inicio al proceso en el que se acumulará la temperatura interna suficiente para fundir el cobre. A medida que el carbón vegetal comience a arder, la fundición estará prácticamente lista fundir los restos de metal. 4. Cubre la fundición con la tapa.
Pin on Que rico!

Deja que el horno de fundición se caliente durante unos 10 minutos antes de meter el aluminio. La temperatura del horno de fundición debe superar los 660 °C (1220 °F). Una vez que el crisol esté al rojo vivo, el horno de fundición estará suficientemente caliente como para fundir aluminio. 5. Echa aluminio en el crisol.
Fundición hierro gris aluminio bronces FTR

Para fundir el hierro, se necesita una fuente de calor extremo, como un horno de fundición o una forja.. La temperatura de fusión del hierro es de aproximadamente 1.538 grados Celsius, mientras que la del acero depende del tipo de acero y puede variar desde los 1300 a los 1600 grados Celsius. En general, se puede decir que el hierro y el.
¿Qué tipos de aspecto considerar para la fabricación de hornos de

La temperatura de fusión del bronce puede variar dependiendo de la composición exacta de la aleación, pero generalmente se encuentra entre 950°C y 1,100°C. Esto significa que el bronce se puede fundir y moldear a altas temperaturas para crear diferentes productos y componentes industriales.
.